
Իրական թվի բացարձակ արժեքը կամ մոդուլը
Ընթերցման ժամանակը՝ 14 րոպե
Կամայական x իրական թվի բացարձակ արժեքը կամ մոդուլը նշանակվում է |x| և սահմանվում է հետևյալ կերպ՝

Սահմանումից հետևում է, որ կամայական իրական թվի մոդուլը կա՛մ դրական է, կա՛մ հավասար է զրոյի, բայց ոչ մի դեպքում չի կարող բացասական լինել։
Երկրաչափության տեսանկյունից, իրական թվի բացարձակ արժեքը թվային ուղղի վրա այդ թվին համապատասխանող կետի հեռավորությունն է հաշվարկման սկզբնակետից՝ զրոյից։
Այն ուղիղը, որի համար ընտրված են հաշվարկման սկզբնակետ, դրական ուղղություն և միավոր հատված, կոչվում է թվային ուղիղ։ Ընդունված է թվային ուղիղը պատկերել հորիզոնական գծով և 1-ը պատկերել 0-ից աջ։ 0-ի և 1-ի միջև հեռավորությունը համարվում է չափման միավոր։ Այդ իսկ պատճառով, դրական թվերը պատկերվում են զրոյից աջ, իսկ բացասական թվերը՝ զրոյից ձախ։ Այսինքն՝ զրոն բաժանում է դրական և բացասական թվերի բազմությունները։
Դրական ռացիոնալ a թիվը թվային ուղղի (առանցքի) վրա պատկերվում է 0-ից a միավոր հեռավորության վրա կետով, նույն կողմում, ինչ որ 1-ը։ Բացասական ռացիոնալ b թիվը պատկերվում է հակադիր կողմում՝ 0-ից |b| = -b հեռավորությամբ։ Այսպիսով՝ հակադիր ռացիոնալ թվերը թվային ուղղի վրա պատկերվում են 0-ի տարբեր կողմերում, 0-ից նույն հեռավորությամբ։

Թվային ուղղի կամայական կետի համապատասխանում է մի իրական թիվ և հակառակը․ կամայական իրական a թվի թվային ուղղի վրա համապատասխանում է մի կետ։ Այն գտնվում է սկզբնակետից |a| հեռավորության վրա՝ սկզբնակետից աջ, եթե a-ն դրական է և ձախ, եթե a-ն բացասական է։
Ընդհանրապես, երկու իրական թվերի տարբերության մոդուլը թվային առանցքի վրա այդ թվերին համապատասխանող կետերի միջև հեռավորությունն է։
Թվային ուղղի M կետին համապատասխանող m թիվը երբեմն անվանում են M կետի կոորդինատ։ Հետևաբար թվային ուղիղն անվանում են նաև կոորդինատային ուղիղ։
Երկու դրական թվերից ավելի մեծ է այն մեկը, որի բացարձակ արժեքն ավելի մեծ է։
Օրինակ՝ |7| > |5| (կարելի է օգտվել երկրաչափական իմաստից) => 7 > 5։
Երկու բացասական թվերից ավելի մեծ է այն մեկը, որի բացարձակ արժեքն ավելի փոքր է։
Օրինակ՝ |-5| < |-7| (նույն պատճառով) => -5 > -7 ։
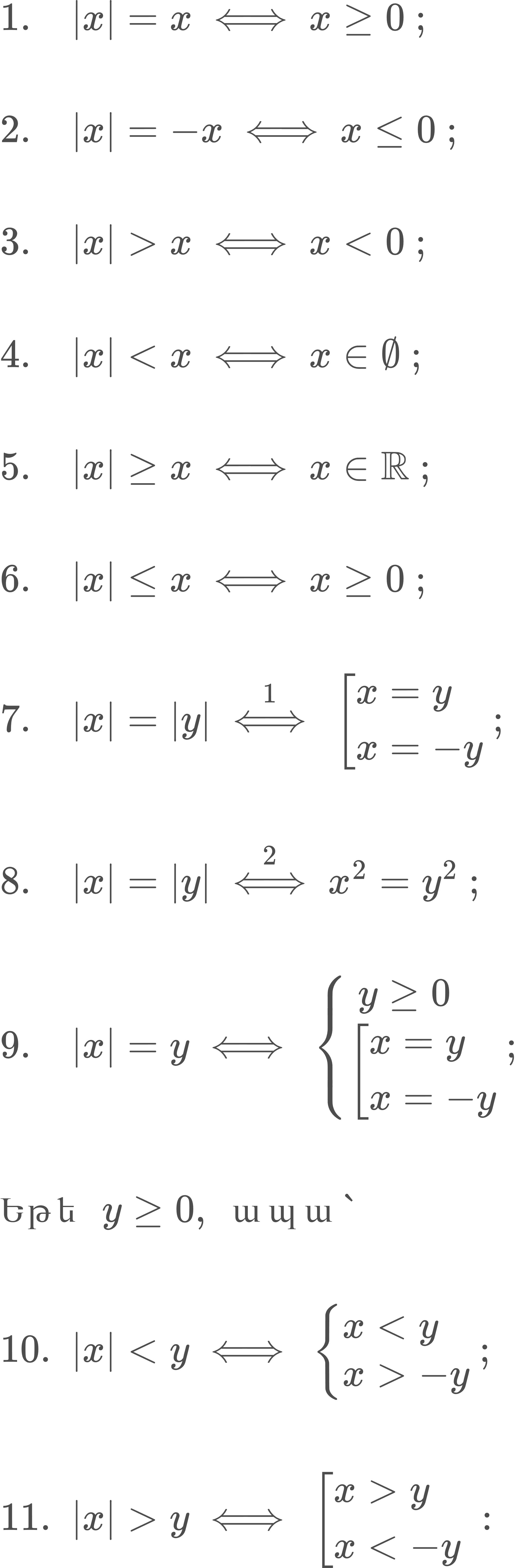
Իրական a կամ b թվի մոդուլի համար ճիշտ են հետևյալ հատկությունները․

Մոդուլ պարունակող հավասարումներ և անհավասարումներ․
Մոդուլ պարունակող հավասարումներ և անհավասարումներ լուծելիս օգտակար է իմանալ ստորև բերված որոշ հատկություններ։
Կամայական իրական x և y թվերի համար ճիշտ են հետևյալ հատկությունները․

Եթե մոդուլ պարունակող հավասարումները և անհավասարումները x-ի և y-ի փոխարեն պարունակում են փոփոխականով արտահայտություններ, ապա դրանք լուծվում են համանման ձևով և համաձայն վերոթվարկված հատկությունների։
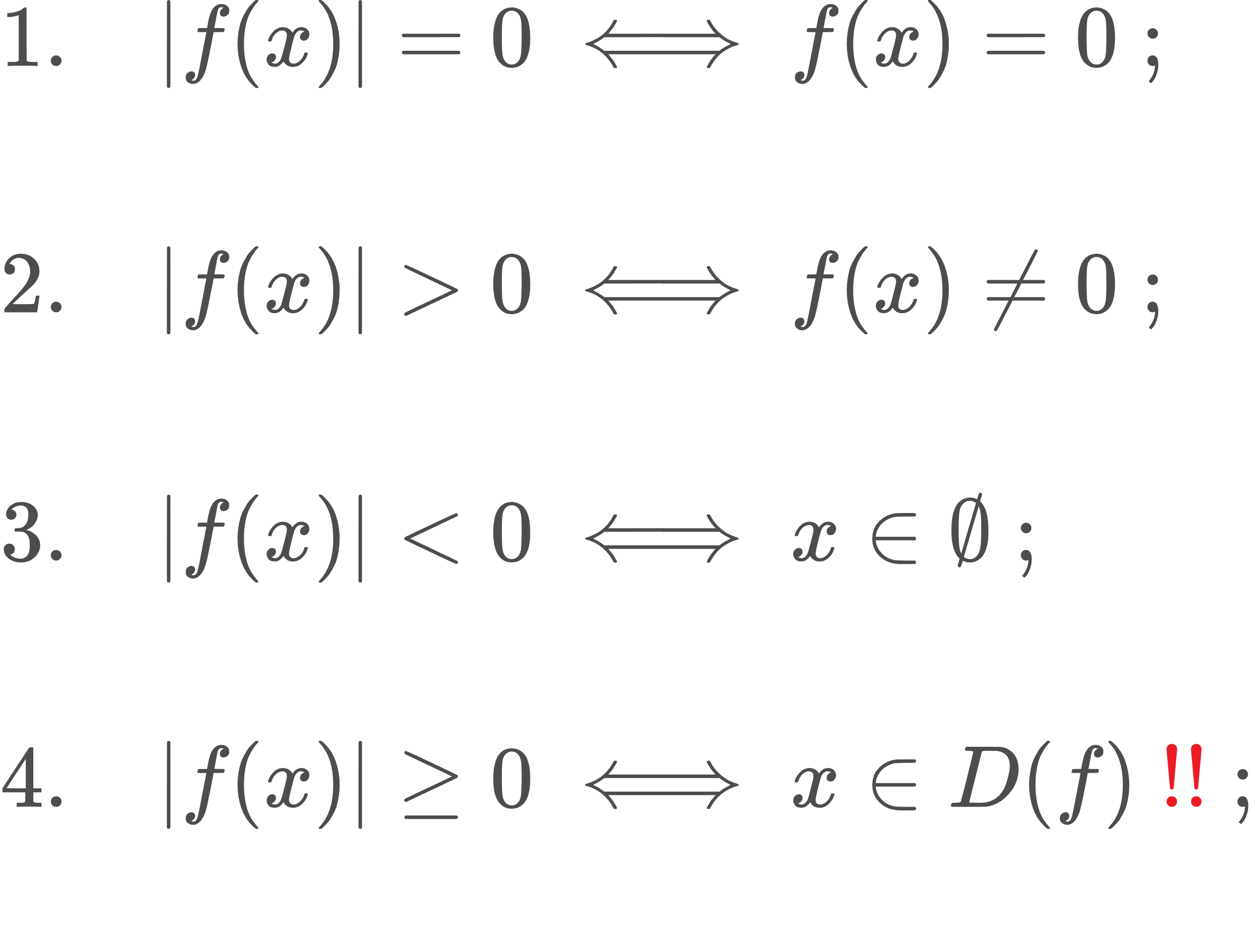
|f(x)| = 0, |f(x)| ≥ 0, |f(x)| ≤ 0 տեսքի հավասարումների և անհավասարումների լուծումը։

Դիտողություն։ Չենք կարող պնդել, որ x∈ℝ, քանի որ f ֆունկցիան կարող է որոշված չլինել (-∞ ; ∞)-ում, այլ որոշված լինել ինչ-որ (a ; b) միջակայքում։

|f(x)| = a տեսքի հավասարումների լուծումը։

|f(x)| ≥ a, |f(x)| ≤ a տեսքի անհավասարումների լուծումը։

|f(x)| = g(x) տեսքի հավասարումների լուծումը։

|f(x)| > g(x), |f(x)| < g(x) տեսքի անհավասարումների լուծումը։

|f(x)| = |g(x)| տեսքի հավասարումների լուծումը։

|f(x)| > |g(x)|, |f(x)| < |g(x)| տեսքի անհավասարումների լուծումը։

|f₁(x)|+|f₂(x)|+․․․+|fₙ(x)| = a,
|f₁(x)|+|f₂(x)|+․․․+|fₙ(x)| > a
տեսքի հավասարումների և անհավասարումների լուծումը։
Այս տեսքի հավասարումները և անհավասարումները հարմար է լուծել միջակայքերի եղանակով։ Դրա համար կարելի է կիրառել քայլերի հետևյալ հաջորդականությունը․
- լուծել f₁(x) = 0, f₂(x) = 0, … , fₙ(x) = 0 հավասարումները․ գտնված արմատները տրված հավասարման (անհավասարման) որոշման տիրույթը տրոհում են միջակայքերի, որոնցից յուրաքանչյուրում մոդուլատակ ֆունկցիաները պահպանում են նշանները։
- բացել այդ ֆունկցիաների մոդուլները յուրաքանչյուր միջակայքի համար՝ հաշվի առնելով դիտարկվող միջակայքերում ֆունկցիաների նշանները։
- օգտվելով հավասարումների և անհավասարումների հոդվածում վերոնշյալ լուծման եղանականերից՝ կազմել համակարգերի համախումբ և լուծել այն։
ax² + b|x| + c ≤ 0, ax² + b|x| + c ≥ 0 տեսքի անհավասարումների լուծումը։
Այս տեսքի անհավասարումները լուծելիս նախ պետք է նկատել, որ x² = |x|², որից հետո կարող ենք լուծել տրվածին համարժեք a|x|² + b|x| + c ≥ 0
(կամ a|x|² + b|x| + c ≤ 0) անհավասարումը։
Պարզության համար |x| -ը կարող ենք նշանակել t -ով (t ≥ 0), որից հետո պետք է լուծենք ձևափոխված հետևյալ անհավասարումը t -ի նկատմամբ՝
at² + bt + c ≥ 0 (կամ at² + bt + c ≤ 0)
Ստացված քառակուսային անհավասարումը t -ի նկատմամբ լուծելուց հետո կստանանք, որ t∈(-∞ ; t₁]∪[t₂ ; +∞) (եթե ունի 2 տարբեր արմատ, t₁ < t₂) և t∈[t₁ ; t₂] (եթե ունի 2 տարբեր արմատ, t₁ < t₂):
Այնուհետև, պետք է հետ նշանակում կատարել t = |x| -ով, և կստանանք՝
a|x|² + b|x| + c ≥ 0 ⟶ |x| ≤ t₁ (թիվ է) կամ |x| ≥ t₂ (թիվ է) (1) ;
a|x|² + b|x| + c ≤ 0 ⟶ |x| ≥ t₁ և |x| ≤ t₂ (2) :
(1) -ի համար կստանանք անհավասարումների համախումբ, իսկ (2) -ի համար՝ անհավասարումների համակարգ։ Վերջիններս լուծելով կստանանք տրված անհավասարումների լուծումների բազմությունները։
Շնորհակալություն ուշադրության համար

Հեղ.՝ Arsen Mejlumyan
Հրապարակվել է ՝ 20 Հուն 2025