
Կրճատ բազմապատկման բանաձևերը։ Ածանցյալ բանաձևերը
Ընթերցման ժամանակը՝ 7 րոպե
Բազմանդամների բազմապատկումը կարելի է ավելի կարճ կատարել, եթե օգտվենք կրճատ բազմապատկման բանաձևերից։ Դրանցից շատերը հանդիսանում են Նյուտոնի երկանդամի մասնավոր դեպքեր։ Նյուտոնի երկանդամ է կոչվում (a+b)ⁿ արտահայտությունը, որտեղ a -ն և b -ն կամայական թվեր են, իսկ n -ը՝ բնական։ Նյուտոնի երկանդամը «բացվում» է այսպես՝

Բանաձևը անվանել են ի պատիվ անգլիացի մեծ գիտնական Իսահակ Նյուտոնի, քանի որ նա է այն ընդհանրացրել։ Նա առաջինն էր, ով հասկացավ, որ այս բանաձևը կարող է օգտագործվել ոչ միայն բնական, այլև բացասական և կոտորակային ցուցիչներով աստիճանների համար։ Նրանից առաջ արդեն հայտնի էր Պասկալի եռանկյունը, որից կարելի է ստանալ բնական ցուցիչով աստիճանների բինոմային գործակիցները, սակայն Նյուտոնը ընդլայնեց դրա կիրառումը։ Նա ապացուցեց բանաձևը ցանկացած իրական n թվի համար։
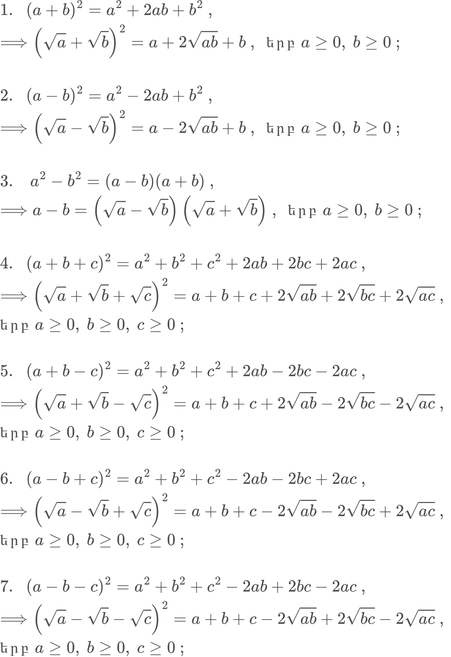
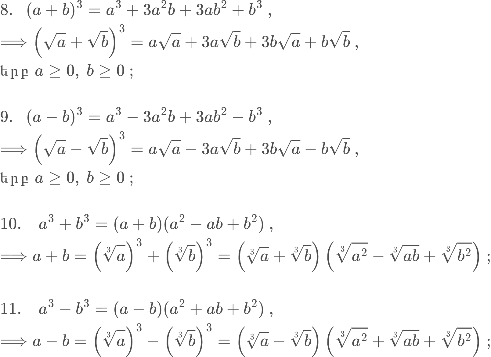
Կամայական a և b իրական թվերի համար ճիշտ են հետևյալ հավասարությունները․
Բանաձևեր քառակուսիների համար՝

Բանաձևեր խորանարդների համար՝

Բանաձևեր n -րդ աստիճանների համար՝

Զույգ աստիճանացույցերի դեպքում (n = 2k)՝

Կենտ աստիճանացույցերի դեպքում (n = 2k+1)՝

Ստորև բերված բանաձևը օգտակար է խորանարդ աստիճանի հավասարումներ լուծելու ժամանակ․

Որոշ կարևոր հատկություններ․

Շնորհակալություն ուշադրության համար

Հեղ.՝ Arsen Mejlumyan
Հրապարակվել է ՝ 03 Հուն 2025